Through 2010 and 2011 in particular, weather extremes seemed to dominate the headlines. Extreme drought, rainfall, flood and wind all played a role in making the period one of the most expensive in terms of damage to infrastructure. In some locations there was also significant loss of life. It was also a time that saw the subject of extreme weather events rise up the climate change agenda, with numerous academic papers, blogs, seminars and campaigns focused on the issue.
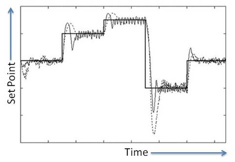
Certainly as the atmosphere moves from one steady state to (presumably) another and one which is warmer and therefore has more energy, weather volatility should increase, at least during the period of transition. This is true in any control system where there is a change in set point (not exactly what is happening in the world, but analogous). The picture below is fairly typical, with large swings in response as the system adjusts to the change.
So we might well expect to see an increase in extreme weather events and many are now pointing to recent events as evidence. The problem here is that there have always been extreme events and there have also been previous periods of bunched extreme events. This may be driven by climate cycles, such as the El Nino Southern Oscillation (ENSO). A period that shows many similarities to the last two years is 1974-75 when there was a very strong La Nina event, such as the one we are currently experiencing.
In the timelines above the near back-to-back El Nino events of the 1970s and 2010s are shown in blue (also see them in the chart above the timeline in blue) and various extreme events are shown in red. Much similarity exits, although the severe droughts that have been experienced in the southern US states didn’t show up at all in the 1970s. In fact the Texas drought has been shown as exceptional by any standards.
With so much focus on extreme events and a further focus by many on an apparent plateau seen in global temperatures in recent years, are we perhaps missing some clearer signals buried in the data? One such signal, which got very little media coverage, was published by the WMO at the very end of 2011 and shows last year to be the hottest ever, for a La Nina year (which are typically cooler). In fact every La Nina year over the past 40 years has been warmer than the previous one.
Over six decades and taking just the La Nina years (chart above) there has been a temperature movement of 0.7 deg.C, or 0.12 deg.C per decade. This is somewhat less than the climate sensitivity indicated by the IPCC, but equally it may only be indicative of what is probably the bottom edge of the span of temperature change. It is nevertheless an important trend to understand and follow. Extreme weather events also deserve considerable attention, but there needs to be some increased diligence when it comes to immediately associating them all with climate change.





David claims that “the Earth atmosphere moves from one steady state to (presumably) another and one which is warmer and therefore has more energy, weather volatility should increase, at least during the period of transition.”
Well, I have a problem with this statement. First, I’m wondering why David thinks the atmosphere is in the steady state. It is obviously not true. Secondly, I would recommend him to focus on the top of atmosphere radiation budget and ocean heat content as these are the only measures suitable to assess whether the Earth is warming or cooling.
As the top of atmosphere radiation budget is naturally fluctuating quite rapidly it is naive to speak about steady state of the Earth atmosphere. The Earth is never in the steady state as it is subject to many climate cycles beginning with diurnal, seasonal, annual, decadal etc.
As an example let’s consider diurnal cycle which causes massive daily changes in atmosphere in range of dozens of degrees Celsius. To smooth out shorter cycles and spatial heterogeneity it is beneficial to consider ocean heat content (OHC) as a measure of amount of energy present on the Earth.
The occurrence of extreme weather is not dependent on amount of total energy but rather on existence of temperature gradients. While global warming allegedly decrease equator-polar (horizontal plane) temperature gradient, it increases tropics-stratosphere (vertical) gradient. However, to my knowledge no global trend has been observed in accumulated cyclone energy, hurricane intensity, tornado occurrence or any other weather pattern.
On the other side, we see interesting local trends. e.g Atlantic basin cyclone intensity has increased in about last 30 years forming distinguishable 60 years cycle apparently following Atlantic Ocean Heat Content. This cycle is also apparent in arctic ice extend. It is also interesting that the OHC in north atlantics peaked few years ago and is currently steadily dropping.
Back to David’s fascination with La Nina weather pattern. Obviously, ENSO is very significant oceanic phenomenon which affects global distribution of energy. Although the sea surface temperature and OHC has reliable measurement for only about 7 years (ARGO), we have indication of 60 years cycle in ENSO reconstructions.
It looks like La Nina in 1975 was the last one of the period very reach on La Ninas. Following 30 years contained strong El Ninos instead. Unfortunately, David cherry picked ENSO reconstruction going back to 1950 only so it is not apparent that the previous El Nino rich period ended around 1945. Indeed, there are numerous reports of unusually warm period around 1945 also with significant loss of arctic ice.
I fully agree with David that somebody is missing clearer signal buried in the noisy data plagued with uncertainties.
I would suggest David to use some more homogenous global temperature reconstructions instead of his favorite NOAA.
Also using some homogenous paleoclimate reconstructions (try to avoid failed hockey stick methodology please) we find that last 150 years are nothing extraordinary in the interglacial climate. Also the current plateau in the global temperatures appears to be nothing extraordinary. It likely happens every 60 years. More interesting would be to see whether some longer cycle is kicking in, reversing the temperature recovery from the little ice age several centuries ago. What are the chances? Non-zero definitelly.
So what to say about the extreme weather? As with the climate change – it happens all the time so better to be ready. The fact that it hasn’t happened for a while doesn’t mean it can’t catch you at some point. The same goes for a major volcano eruption. There wasn’t any for a while and the next one is overdue. Once it comes it will dwarf any little baby weather extreme we are currently experiencing.
With regards your first comment, I don’t agree. Since the end of the last age the planet has been roughly in balance in terms of the heat budget, given that the ice packs have been fairly static in size and sea levels haven’t changed much. By contrast, when we move into and out of ice ages the planet isn’t in steady state as there is a large change in the ice pack and very significant changes in sea level. The current concern is that with increased radiative forcing, the steady state that we have enjoyed for the last few thousand years is now shifting. I do agree that within this, the weather systems are chaotic.
There was always imbalance in the Earth energy budget. Chaotic systems are chaotic because they have some degree of freedom. They are never in equilibrium or steady state. Extreme weather is just a nature of chaotic weather nearly impossible to predict by weather models. These models fail to predict weather 10 days in advance. However, the weather averages eventually and we observe seasonal pattern. But again, making more detailed seasonal predictions typically fail due to the chaotic nature of the climate. The best we can do is to predict ENSO patterns several months in advance.
Current climate models typically assume that ENSO will average out over few years. To make it look better people used to smooth out time series with time filters. Here comes your illusion of steady state. The hockey stick took it two steps further. M. Mann tried to delete the two last instances of Holocene fluctuation which happened circa 1000 and 500 years ago and which is likely happening now and could be at least partially blamed for estimated rise in global temperatures.
So back to your concern of shifting alleged steady state due to the increased radiative forcing. First, there never was steady state. Using Theory of Chaos terminology what you see as a steady state is just oscillation around orbit trajectory. It is therefore normal to observe radiative imbalance. Many people incuding me believe that the best way to measure this imbalance is via the ocean heat content. Eventually, we have a tool which improved uncertainty of these measurements by degree of magnitude. Those are ARGO buoys. What do they say? Well, the radiative imbalance is much smaller than IPCC assumes. Is it surprising that also the warming observed in the surface layers and lower atmosphere ceased in the recent years?
Perhaps this is just chaotic fluctuation and radiative imbalance returns. But the fact that long standing prophets of catastrophe are missing the heat is quite telling. Perhaps the error of the models is inherent. While I agree that there is a good basis to claim that CO2 causes a radiative forcing which has logarithmic proportion to CO2 concentration. I’m very skeptical to the alleged water vapour feedback which is linear to the temperature and which is causing runaway warming of IPCC climate models. There is actually very little basis for such claims. No wonder that these models keep failing and people keep noticing. I can see evidence mounting that IPCC climate sensitivity is overestimated.
Obviously some people don’t see it or don’t want to see it. Shell invested a lot of money and time in CCS and lobbying for carbon price. Was this decision based on the scientific evidence? We shall see.